詳情
您的位置:超卓閥門 >> 氣動調節閥粘滯模型的描述函數分析氣動調節閥粘滯模型的描述函數分析
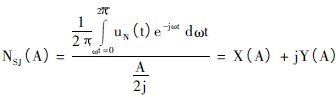
發布時間:13-07-16 關注次數: 一般情況下,當氣動調節閥粘滯非線性模型的輸入為正弦信號u(t)=Asinωt時,非線性模型的輸出是非正弦周期信號。用N(A,ω)表示調節閥非線性模型的描述函數,并設圖1所示的控制系統具有零參考輸入,則有:
(1) ![]()
式中,y表示系統輸出,C(jω)表示控制器的頻域特性,P(jω)表示過程對象的頻域特性,A和ω分別表示非線性模型正弦輸入信號的振幅和角頻率。
設G=CP且當y≠0,并且對于大多數非線性結構包括本文所使用的雙參數粘滯模型,其描述函數并不受輸入信號u頻率ω的影響。所以有:
(2)![]()
出現粘滯故障的氣動調節閥在正弦輸入u(t)=Asinωt時,其輸出如圖3所示。圖3中d表示S-J。
.jpg)
圖3 粘滯故障時調節閥在正弦輸入u(t)時的輸出uN(t)示意圖
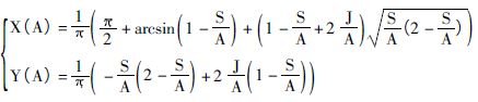
圖3中,調節閥粘滯模型的輸出表達式可寫成:
樣 (3)
所以有:

(4) 式中

上一條信息:淺談電動調節閥、PID調節儀在淬火壓床油溫控制裝置中的應用
下一條信息:電動調節閥連接處泄漏修理
















